In this post we finally state and prove the Kodaira embedding theorem that gives an equivalent condition for a compact complex manifold to be a submanifold of the projective space.

Suppose is a line bundle on a compact complex manifold . Then is finite-dimensional, and hence admits a basis . We can consider the holomorphic map The conditions for to be an embedding are given as follows:

  • is well-defined, i.e., there exists such that . This is equivalent to that
  • is injective, i.e., whenever . We claim that this is equivalent to that there exist sections such that and , which happens if and only if Indeed, first suppose that . With loss of generality, we may assume that . If , we just take , and , where . Otherwise there must exists such that , and then we take Conversely, suppose . Then there exists such that for all . Thus such and cannot exist. This proves our assertion for the equivalence. Note that the equivalent condition for to be injective given above indeed implies the well-definedness of .
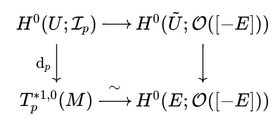
  • is an immersion, i.e., for each the tangent map is injective. It is clear that this is equivalent to that the pullback is surjective. With loss of generality, suppose . Then , where is an open subset with coordinates . Hence the surjectivity of the pullback can be expressed as that for any , there exists such that If we let then and . This may be expressed in a more intrinsic way. Denote the sheaf of holomorphic sections of vanishing at by . Consider the map where satisfies that . This map is well-defined in view of the following computation: It is not hard to see that is an immersion if and only if

Theorem (Kodaira embedding theorem). Suppose is a compact complex manifold and is a positive line bundle on . Then there exists such that for any , the holomorphic map induced by a basis of is an embedding.

Proof: In view of the preceding discussions, we need the following two steps:
(1) there exists such that for any and any distinct , the restriction is surjective;
(2) there exists such that for any and any , the differential map is surjective.

We may actually reduce the above assertions to the case when and are fixed. This is because if , then for and near and , and similarly for the condition that is injective at . Hence we can take the same bounds and in a neighborhood, and then the compactness of implies that the global bounds can be taken.

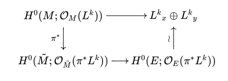
Step (1). Suppose is the blow-up of at and , with the exceptional divisors and . Let . For each , the pullback of gives If , then clearly and is an isomorphism. Otherwise, for each section , by Hartogs’ theorem its restriction to can be extended to , and we can see that . Thus is again an isomorphism.

Meanwhile, note that is trivial along and , respectively, i.e., Since and are both compact, we see that We can also see that the following diagram, where horizontal arrows are restrictions, commutes:

Hence it suffices to show that the restiction from to is surjective. Note that the direct image of under the inclusion is a sheaf on (for which we use the same notation) with .

Consider the following exact sequence of sheaves on : Then we have the exact sequence It remains to show that . Since is compact, there exists such that is positive for any . Then the corresponding form of is positive semi-definite. Meanwhile, there exists such that is positive for . Thus for , we see that is positive. The Kodaira vanishing theorem then tells us

Step (2). Suppose is the blow-up of at , with the exceptional divisor . Similarly we have the isomorphism Moreover, note that vanishes at if and only if vanishes along , we obatin an isomorphism Since is trivial along , we have It is not hard to see that the following diagram commutes:

It suffices to show that the restriction from to in surjective. Consider the exact sequence of sheaves: which yields the exact sequence It remains to show that . There exists such that is positive for . Thus for , we see that is positive. By Kodaira vanishing theorem,

Corollary. Suppose is a compact complex manifold. Then can be embedded into the projective space if and only if admits a positive line bundle.

For a positive line bundle on a compact complex manifold, the Kodaira vanishing thoerem tells us the higher cohomology groups can be controlled, and hence ensures that we can move from the local case to the global case. In this post we provide a proof of the Kodaira vanishing theorem and discuss some related results.


Note that a compact complex manifold with a positive line bundle admits a Kähler metric from the metric on the bundle. First we extend some results about operators on the space of forms to those on the space of bundle-valued forms. Suppose is a compact Kähler manifold with the Kähler form , and is a holomorphic vector bundle on with a hermitian metric . Recall that we have operators and on , which satisfy on that and on that .

On the space , the operators and are still well-defined. Meanwhile, gives an operator on , whose dual operator clearly exists and is denoted by . Since the metric connection on plays the role of the differential on , we can consider its holomorphic part as the analogy of . Then we have a well-defined Using the star operator, it is not hard to see that the operator provides the dual of . (Note that in the expression of , acts on , where is equipped with the induced metric from .)

Lemma. Suppose is a holomorphic vector bundle on a compact Kähler manifold . Then we have on each that

Proof: Suppose is a smooth local frame of , with respect to which the connection matrix of is , where consists of -forms and consists of -forms. For , we can express it as Then it can be seen that and Meanwhile, it is clear that Thus

For each , we can take a smooth frame such that vanishes at , which implies that By the arbitrarity of , we see that holds as operators on .

It is direct to see that holds for any .


Now we can prove the Kodaira vanishing theorem.

Theorem (Kodaira vanishing theorem). Suppose is an -dimensional compact complex manifold and is a positive line bundle on . Then

Proof: Suppose is a metric on such that the associated real -form is positive. Then provides a Kähler stucture on . Assume that the metric connection of on is . Comparing the type of forms in the equality we see that

Now by Hodge theorem, there is a canonical isomorphism . Thus it suffices to show that a harmonic form must be zero whenever . Take any with . Then implying that On the other hand, since we have Therefore Since , it must be true that , proving our assertion.

Using the Dolbeault theorem, it is direct that In particular, taking , we obtain If we consider the Kodaira-Serre duality, then

As an corollary, we see that vanishes for several cases, where is the hyperplane bundle on . Note that since is positive, any tensor power with is positive.

  • if , then is positive, implying that
  • if , then note that by computations of transition functions we have , suggesting that

Therefore


There is another interesting vanishing theorem which can be shown in a similar method to the Kodaira vanishing theorem.

Theorem. Suppose is an -dimensional compact complex manifold and is a positive line bundle on . Then for any holomorphic vector bundle on , there exists such that

Proof: Note that it suffices to show that for any holomorphic vector bundle and sufficiently large we have

Suppose is the metric on such that gives a Kähler metric on , and is a metric on with curvature form . Then provides a metric on , whose metric connection is denoted by . Then the curvature of is exactly By a similar argument in the proof of the Kodaira vanishing theorem, we see that Thus

For each , is an operator on the fiber such that the norm is independent of . Let then we have Therefore whenever , proving our assertion.

Recall that a holomorphic map from a complex manifold to the projective space can be realized by some holomorphic sections of a line bundle on satisfying some conditions. Thus the line bundles on a compllex manifold are important in the study of embedding into the projective spaces. Since divisors are closely related to line bundles, they are also frequently considered. In this setion we introduce a fundamental technique in complex geometry called blowing up, which can reduce singularities of sections and induce divisors from points on complex manifolds.

Construction of blow-ups

Suppose is a polydisc centered at the origin in , with the Euclidean coordinates . Consider the submanifold of given by It is clear that can also expressed as which shows that is a submanifold of the universal bundle on . Let be the natural projection. Then gives a bijective map and is naturally identified with . The manifold , together with the projection , is called the blow-up of at the origin.

Proposition. is an -dimensional complex submanifold of . With respect to this complex structure, is a holomorphic homeomorphism.

Proof: Let be the open subset of given by Consider the holomorphic coordinates of on given by Then it is direct to see that is determined by showing that is an -dimensional complex submanifold of . The corresponding coordinates on are given by

With respect to this complex structure, it is not hard to see that and its inverse are both holomorphic maps, implying that is a holomorphic homeomorphism.


Now suppose is a complex manifold and is a point on . Suppose is a neighborhood of such that under a coordinate map, corresponds to the origin and corresponds to a polydisc centered at the origin. We can consider the blow-up of at , together with the projection .

Let be the manifold obtained by sticking to by , i.e, We see that

  • extends to a projection ,
  • has a complex structure obtained from that of and ,
  • is naturally identified with , and
  • is a holomorphic homeomorphism.

The complex manifold , together with , is called the blow-up of at the point .

Although the above construction of the blow-up needs the local coordinates near , the result manifold is actually independent of the choice of the coordinates. First note that if is another open neighborhood of with the induced coordinates, then the blow-ups of at constructed from and are naturally holomorphicly homeomorphic to each other. Now suppose is another coordinate system on centered at . Then there are holomorphic functions such that Denote by the blow-up of at given by , together with the projection . We see that there is a holomorphic homeomorphism expressed as and where It is clear that , implying that extends a holomorphic homeomophism

The independence can also be interpreted as that the way we attach to the point is somehow independent of the coordinates.

Suppose is a finite-dimensional complex vector space. We define the associated projective space of to be the set of -dimensional subspace of . admits a structure of complex manifold natually as the complex structure on . If , then any basis of gives a holomorphic homeomorphism from to .

Now is a complex manifold holomorphicly homeomorphic to . The blow-up of at can be identified with the disjoint union of and . The complex stucture of can be determined by specifying that for each and each holomorphic map such that and the tangent map of at is nonzero, the induced map given by is holomorphic.

It is not hard to see that if is a compact complex manifold and is a point in , then the blow-up of at is also compact.

Exceptional divisors

For the blow-up of a complex manifold at a fixed point , we define the exceptional divisor (or for short) to be the inverse image . We have seen that is holomorphicly homeomorphic to .

Proposition. is indeed a divisor on .

Proof: Consider the open cover of , where . On each , we have the coordinate system and it is clear that It follows that is a divisor on given by

As a divisor, induces a line bundle on . Considering the transition functions of , it is not hard to see the following proposition:

Proposition. Under the identification , the line bundle on is isomorphic to the universal bundle on .

It follows that the line bundle on is isomorphic to the hyperplane bundle on . Noting that the fiber of on is naturally identified with the dual space of , we see that each linear functional on gives a global section of . Thus there is a natural map

Lemma. For each nontrivial complex vector space , the canonical map is a linear isomorphism.

Proof: It suffices to show for , that is, to show that the map is a linear isomorphism, where is the space of homogeneous linear functions in .

The injectivity and the linearity are both direct. It remains to show the surjectivity. Suppose is a nonzero homogenuous linear function with the corresponding section . For any nonzero section , defines a meromorphic function on . Composing with the projection , we obatin a meromorphic on . It is direct to see that is a holomorphic function on , which extends to the whole by Hartogs’ theorem. The definition of and implies that for any , and hence by considering the Taylor’s expansion of at , we see that . Clearly corresponds to the section of .

Corollary. The canonical map is an isomorphism.

Recall that for a divisor on a complex manifold, each meromorphic function with defines a global holomorphic section of . Note that if is a holomorphic function on a neighborhood of such that , then is a holomorphic function on such that vanishes on , i.e., . Therefore there is a natural map It turns out that this can be realized by taking the differetial of the function at , i.e., the following diagram commutes:

The difference between the canonical bundle on and that on is also described by the exceptional divisor . We see from direct computations of transition functions that the following proposition holds.

Proposition. The canonical bundle on is described as

The last but not the least important thing is how to lift a positive line bundle on to a line bundle on . In general, the pullback of a positive line bundle is no longer positive because the corresponding curvature vanishes along for any . The correct construction is as follows:

Proposition. Suppose is a positive line bundle on . Then there exists a positive integer such that the line bundle on the blow-up is positive for any positive integer .

Proof: Consider an open neighborhood of in . Let where . Then gives a hermitian metric on , which determines a real -form expressed locally as We see that is nonnegative on , and is positive along for any .

Since is a trivial line bundle outside any neighborhood of , we can take a hermitian metric on such that is constant outside a neighborhood of . Take a smooth function on such that , on and outside . Then is a hermitian metric on , with the corresponding form satisfying that vanishes outside , is nonnegative on , and is positive along for any .

Suppose that is a hermitian metric on such that the corresponding -form is positive definite on . Then is a hermitian metric on whose -form is exactly . We can see that is positive outside the holomorphic tangent space of , and vanishes along for any .

Note that is a compact subset, is bounded below on . As is positive on , there exists such that is positive on for any . Now gives a hermitian metric on with the corresponding -form positive definite everywhere, showing that is a positive line bundle on .

In differential geometry, we know that any smooth manifold can be embedded in a Euclidean space . In contrast, as any holomorphic function on a compact complex manifold is constant, we cannot put a compact complex manifold into any affine space . Therefore people turn to the embedding of compact complex manifolds in projective spaces, which will be dicussed in this post and the followings.

Before considering the sufficient conditions for embedding, the necessary conditions are also essential. Recall that a submanifold of is a Kähler manifold with the hermitian metric induced from the Fubini-Study metric on . Another necessary condition comes from the study of line bundles on .

Hyperplane bundle on

Consider the line bundle on given by together with the natural projection . is called the universal bundle on . Using the coordinate covering of , we can give the trivializations of . Let The local trivializations of are then given by , It follows that the transition functions of are

The hyperplane bundle on is then defined to be the dual bundle of , i.e., . In terms of transition functions, we see that corresponds to , where

In order to see why the line bundle is called the hyperplane bundle, we need to turn to an alternative definition of . Fix a nonzero . The zero set of the homogeneous function is a well-defined hyperplane on , and hence gives a divisor on . We claim that is exactly the line bundle . Let by the holomorphic function given by It is direct to see that Thus the divisor corresponds to . It follows that the line bundle given in terms of transition functions is , where As agrees with for any and , it is clear that .


Using the transition functions of , a hermitian metric on may be express by a collection of locally defined positive smooth functions satisfying some properties. Suppose is the natural projection and is the local trivialization. Let be the holomorphic section of on such that It is clear that is determined by the positive smooth functions and that these satisfy the following transition relations: Conversely, given positive smooth functions on each satisfying the above condition, we obtain a hermitian metric on up to a constant scalar.

In particular, we define It is direct to verify that satisfy the transition relations. The metric connection of is then given by the -form and hence the curvature form is It follows that the Fubini-Study metric on is expressed locally on each as

Positive line bundles

The above discussion about inspires the following definition of positive line bundles. Suppose is a complex manifold and is a holomorphic line bundle on . Then we say that is a positive line bundle on , if there is a hermitian metric on such that the associated curvature form satisfies that the real -form is positive definite everywhere on .

Note that if is a positive line bundle on with a curvature form satisfying the above condition, then as is a closed real -form positive definite everywhere, it defines a Kähler metric on . Thus a complex manifold admitting a positive line bundle must be a Kähler manifold. Moreover, if is a complex submanifold on , then it is not hard to see that is a positive line bundle on . Therefore, if a compact complex manifold can be embedded into , then admits a positive line bundle. This gives a necessary condition for the embedding, and we will show in the following posts that this is actually a sufficient condition.


The positivity of a line bundle can be described by its Chern class, as shown in the following propositions.

Lemma. Suppose is a compact Kähler manifold and is a -form on . If is -exact, then there exits a -form on such that . Moreover, if and is real, then we may take such that is real.

Proof: Since is a compact Kähler manifold, the harmonic forms with respect to and are all the same. Let be the Green operator with respect to , which is a real operator and also the Green operator with respect to . As is -exact, it is orthogonal to the space of harmonic forms, and . Hence the Hodge decompostion of with respect to is Note that we see that . Consider the Hodge decompostion of with respect to : which implies that It follows that . Recall that in the proof of the relation we have shown that , implying that Therefore .

Note that the above construction of can be written explicitly as In case is real, we have showing that is real.

Proposition. Suppose is a compact Kähler manifold and is a line bundle on . If is a closed -form on such that is real and then there exists a metric on with the associated curvature form .

Proof: Take any metric on with the associated curvature form . Then by the definition of the Chern class, Hence is a real -exact -form. By the above lemma, there exists a real smooth function on such that . Let , then is also a positive function on , and the curvature form oh is

Corollary. Suppose is a compact Kähler manifold and is a line bundle on . Then is a positive line bundle if and only if the first Chern class can be represented by a closed real -form that is positive definite everywhere.

We focus on the Riemann-Roch theorem in the study of compact Riemann surface in this post. This will be a comprehensive application of the tools we have developed.


Suppose is a compact Riemann surface, i.e., a compact -dimensional complex manifold. Recall our discussions about divisors and line bundles. We have associated to each nontrivial meromorphic function on a divisor , and to each divisor a line bundle . The divisor group on is naturally identified with , while the Picard group of line bundles on is identified with . The exact seqeunce of sheaves induces the exct sequence

For a divisor on , the holomorphic sections of the associated line bundle can be constructed by meromorphic functions on satifying some properties. Precisely, there is an isomorphism between and . In particular, Here we consider meromorphic functions on , however, we can also consider meromorphic differential forms on . A meromorphic differential form on is a global meromorphic section of the differential form bundle on . Since is -dimensional, is a line bundle, and each nontrivial global meromorphic section of induces a divisor just as meromorphic functions. Consider In analogy to the way that each induces a holomorphic section of , each induces a holomorphic -valued differential form on , and hence we obtain an isomorphism Recall that by the generalized Dolbeault theorem and the Kodaira-Serre duality, we have implying that


Note that as is -dimensional, the hypersurfaces on are exactly points. Thus each divisors on can be expressed as where are distinct points on and are positive integers. We then define the degree of the divisor to be

Lemma. Suppose is a divisor defined by a nontrivial meromorphic function on . Then .

Proof: Consider a finite open cover of such that each is identified with an open subset of . We can take for each such that these are disjoint, cover , and there is no zero or pole of on any . By the argument principle for meromorphic functions, we see that the difference between the number of zeros of on and the number of poles of on , both counted with multiplicities, is the integral of along . Thus where the last equality holds by the definition of contour integrals.

Another important concept appeared in the statement of the Riemann-Roch theorem is the genus of a Riemann surface . This is just the genus of a compact surface of real dimension , and by the orientability of , we have the expression of as where the first is the de Rham cohomology with complex coefficients, and the second one is the sheaf cohomology of the locally constant sheaf .

Consider any hermitian metric on . As soon as is a hermitian Riemann surface, becomes a Kähler manifold. Then by the Hodge decomposition theorem for compact Kähler manifolds, we see that Using the Dolbeault theorem, it follows that


The following lemma will be repeatedly used in our discussion.

Lemma. Suppose is a compact Riemann surface, is a line bundle on and is an effective divisor. Then

Proof: Suppose is given as By the identification of with , we can take a nontrivial meromorphic section such that . Since is effective, is indeed holomorphic, and has zeros at each with order .

For each local holomophic section of , gives a holomorphic section of . If , then is zero on a dense subset of , implying that is the trivial section of on . Thus we obtain an injective sheaf morphism Put this into an exact sequence of sheaves:

For , is nonzero and hence is an isomorphism, implying that . For for some , the image of in consists of those local sections such that is a zero of with multiplicity no less than . Thus Therefore it is not hard to see that

We have the long exact sequence of cohomology groups The Hodge theorem and the generalized Dolbeault theorem have shown the finiteness of the dimensional of these cohomology groups. Thus implying the desired formula.

Proposition. Suppose is a compact Riemann surface and is a line bundle on . Then there is a divisor on such that .

Proof: Let and . By the lemma, we have For a sufficiently large , we must have i.e., has a nontrivial global holomorphic (and hence meromorphic) section. As we have shown before, is contained in the image of . Suppose . Then , proving our assertion.

Now we can define the degree of a line bundle on . Suppose is a line bundle on . Take a divisor on such that . We simply define the degree of to be the degree of . However, the well-definedness needs considering. Suppose is another divisor on such that . Then there exists a meromorphic function on such that . Hence showing that is actually well-defined.

Theorem. (Riemann-Roch theorem). Suppose is a compact Riemann surface with genus and is a line bundle on . Then

Proof: Take a divisor on such that . Clearly there exist effective divisors and on such that . By the lemma we have from that and from that It follows that Since is a compact complex manifold, we have Note that and that we conclude that

Using and , we can express the Riemann-Roch theorem as follows:

Theorem (Riemann-Roch theorem). Suppose is a compact Riemann surface with genus and is a divisor on . Then

As another application of the Hodge theory on compact Kähler manifolds, the Lefschetz decomposition of the de Rham cohomology groups is of great importance as well as the Hodge decomposition. We will use the representation theory of the Lie algebra to give a proof of the hard Lefschetz theorem, and discuss the Hodge index theorem which is regared as a corollary of this decomposition in this post.

Representations of

Recall that the Lie algebra consists of complex matrices with trace zero, with the Lie bracket given by As a vector space, has a basis given by , and generates the whole Lie algebra with the relations

For a finite dimensional vector space over , we have the Lie algebra of endomorphisms on . A representation of is given as a Lie algebra homomorphism and then is called a -module. This is equivalent to give satisfying the same relations as . For , we may write (resp. ) simply as (resp. ) for short if is clear from the context. A subspace of is called a -submodule, or simply, a submodule, if is closed under the action of . is called irreducible if has no nontrivial submodule, i.e., if is a submodule, then either or .

A result in the representation theory of Lie algebras tells that for any submodule , there exists another submodule such that . It follows that any -module can be decomposed into the direct sum of irreducible submodules.


Now suppose is an irreducible -module. We want to study the further structure of . The eigenspaces of , which are also called weight spaces, are considered in our analysis.

Suppose is a nonzero eigenvector of with respect to the eigenvalue . Then since and are both eigenvectors of . Moreover, if (resp. ) is nonzero, then and (resp. ) are linearly independent as they are eigenvectors with respect to different eigenvalues. Since is finite dimensional, there exists such that .

We say a vector is primitive if is a nonzero eigenvector of with . By the above discussion we see that primitive vectors exist.

Proposition. Suppose is primitive. Then is generated (as a vector space) by .

Proof: Since is irreducible, it suffices to show that the subspace generated by is a submodule. As are all eigenvectors of , it is clear that is closed under the action of and . Suppose . We show by induction that which certainly implies that is closed under .

For , comes from the definition of the primitive property. Assume the above formula holds for . Then for , we have completes the induction.

Corollary. can be decomposed into the eigenspaces of as where each is the eigenspace of with respect to , and has dimensional one.

Corollary. Suppose the dimensional of is . Then

Proof: Take a primitive vector , with the corresponding eigenvalue of . Since is -dimensional, we have and . Then implying that .


We may generalize the above stucture theorem of irreducible -modules. Suppose is a (finite-dimensional) -module which is not necessarily irreducible. Consider the decomposition of into irreducible submodules: with each irreducible. Let . Then is exactly the -dimensional subspace of generated by a primitive element, and it is also clear that is the direct sum of such . Since each satisfies that we obtain the decompostion of as

As each is decomposed into eigensubspaces of , so is . The decomposition into weight spaces and the decomposition into irreducibles are directly compatible, implying that We can also see that

Since for each and , are both isomorphisms, it follows that are isomorphisms as well.

Lefschetz decompostion and Hodge index theorem

Suppose is a compact Kähler manifold of dimensional with the Kähler form . A action on the -dimensional space will be introduced in order to apply the above results.

Lemma. The operators and on commute with .

Proof: Recall that we have Thus Taking the dual operators, we see that

By this lemma, and give well-defined operators on . Using the natural isomorphism , we obtain operators It worth noting that can be expressed as

In view of the Hodge decomposition, is considered as a subspace of . Let be the projection, and consider We obtain in the previous post that As maps into and does the converse thing, it is also direct to see that Therefore we have a representation of on by with

Applying the description of the structure of -modules, and noting that is exactly the eigenspace of with respect to the eigenvalue , we obtain the following Lefschetz decompostion.

Theorem (Hard Lefschetz theorem). Suppose is an -dimensional compact Kähler manifold. Then the map is an isomorphism for . Define the primitive cohomology by then we have and the Lefschetz decomposition

By considering the bidegree of differential forms, we see that the Lefschetz decomposition is compatible with the Hodge decomposition, that is There is also an isomorphism for each and .


As an application of the Hodge decomposition and the Lefschetz decomposition, we introduce the Hodge-Riemann bilinear relations and the Hodge index theorem.

Consider the bilinear form on given by As is a real form, defined a real bilinnear form on . Comparing the bidegree of forms, we see that when and , we have unless and .

Lemma. Suppose satisfies that vanishes at , then holds at .

This lemma can be shown by direct computation in a local orthonormal frame.

Theorem (Hodge-Riemann bilinear relations). Suppose is an -dimensional compact Kähler manifold. Then for a nonzero , we have

Proof: Without loss of generality, we may assume that is a harmonic -form such that everywhere. Then by the lemma we have

Note that , we obtain from the Lefschetz decomposition that is nondegenerate on . Meanwhile, the bilinear relations also imply the positive definite property of the quadratic form on (or simply if ) when is even.

Recall that for a general -dimensional real compact oriented smooth manifold , the Poincaré duality yields a nondegenerate bilinear form on by The index of is defined to be the signature of the quadratic form on .

Specifying the case when is a -dimensional compact Kähler manifold, it is clear that agrees with on . The Lefschetz decompostion tells us and considering the real part, we obtain

By the corollary of the Hodge-Riemann bilinear relations, it holds that

Theorem (Hodge index theorem). Suppose is a -dimensional compact Kähler manifold, then

Proof: By the Lefschetz decompostion, we have Together with the above formula of and the symmetric properties of , direct computation yields that It is also direct that implying the final conclusion.

For a complex manifold , we have two different cohomology theory: the de Rham cohomology and the Dolbeault cohomology. As they both come from the cochain of differential forms on , the relations between them are worth considering. In this post we demonstrate this relation on compact Kähler manifolds, which is given by the Hodge decompostion.

Fundamental identities

Before the Hodge decompostion, we need some preliminary fundamental identities on Kähler manifolds which are useful not only for the Hodge decompostion in this post but also the Lefschetz decomposition in the next post.

Suppose is an -dimensional complex manifold with a hermitian metric and is the associated fundamental form of . The hermitian structure induces a Riemannian structure on , which further induces a volume form on and a star operator on the space of differential forms on that maps into . We have differential operators , and on which are related by Consider the operators The hermitian structure of gives an inner product on the space consisting of -form on with compact support by Then an inner product on is constructed from these inner products on . With respect to this inner product, it verifies that and are the dual of each other, and and are the dual of each other.

Using the fundamental form , we can define the Lefschetz operator by It is direct to see that . Define another operator on by We see that is exactly the dual of on with respect to the inner product . As is a real form, and hence must be real operators, that is


For two operators and on a space, their commutator is defined by

Proposition. If is a Kähler manifold, then it holds on that i.e., commutes with and , and commutes with and .

Proof: As is a Kähler form, we have . Since is a -form, it follows that . Hence for any , Now consier any . We have and analogously for .

Proposition. For a Kähler manifold , it holds on that Moreover, we have on .

Proof: Let us first consider the case when . Define operators and on by We see that and are -linear, and hence we may consider their dual operators and . The following anti-commutative relations is clear from our definition: Define operators and on by It is direct to see that and commute with each , , and . We also have Note that for each with and , we have implying that . Similarly we have . It follows that

Consider the interaction of and . First note that if , then holds for any , implying that At the same time, we have implying that It follows that which implies that Now for , we have and hence Since this also holds when either or , we obtain By a similar arguments, we see that and that for Moreover, for any and , it always holds that Now we can compute that Taking conjugation, we obtain Moving to the dual operators, it follows that We also have For a form , we have It follows that

Now the identities have been proven for . For the general cases, we need the local description of a Kähler metric. Consider an arbitrary point . There exists a local orthogonal frame around such that for any . Replacing by and doing the same computation, we see that and agrees up to some terms involving and , which vanish at . Using the similar arguments, the above identities all hold at . Since they only involve global operators, we obtain the desired results.

Hodge decomposition

Now suppose is a compact Kähler manifold. Recall that we have the Laplace-Beltrami operators Denote the spaces of corresponding harmonic forms by , and , and let where is or . By the Hodge theorem, we have the natural isomorphism for each and . Meanwhile, by the Hodge theory on compact Riemannian manifolds, there is an analogous result that we have the natural isomorphism for each .

Proposition. Suppose is a compact Kähler manifold. Then

Proof: We will use the fundamental identities we have shown above. Since , we have , and hence Since and , we obtain It follows that Hence it remains to show that . Direct computation yields that

This relations of , and implies that and hence we may simply denote them by . Since is clearly a real operator, we see that for , implying that Moreover, for a harmonic , we can decompose it into Then with . Using the uniqueness of the decomposition of -forms, we see that and hence . It then follows that we have the direct sum decompostion of spaces Passing this to the cohomology, we obtain the Hodge decompostion.

Theorem (Hodge decomposition). Suppose is a compact Kähler manifold, then for each , we have the decomposition Under this isomorphism, each is identified with a subspace of , through which we have

Recall that we have the Betti numbers Similarly, we define the Hodge numbers by By the above Hodge decomposition theorem, we have the relations between Betti numbers and Hodge numbers given as A direct consequence is that must be even as we have Thus there is a topological constraint for a manifold to be Kähler, that is the Betti numbers of odd order should be even, and the Betti numbers of even order should be positive.

We may apply the above results to compute the Dolbeault cohomology of .

Proposition. The Dolbeault cohomology groups of is given by

Proof: The assertion is equivalent to that Note that by the singular cohomology, we have If we have any with , then a contradiction. Hence we must have for each and for other cases.

For a hermitian complex manifold, there is a unique complex connection on the holomorphic tangent bundle compatible with the hermitian metric. Meaanwhile, as a Riemannian manifold, there is a unique torsion-free connection on the real tangent bundle compatible with the induced Riemannian metric. The notion of Kähler manifolds then arises from the comparison of these two connections.

Kähler condition

Suppose is a complex manifold and is a complex connection on the holomorphic tangent bundle . For a local holomorphic coordinates of , we can express locally as We call a torsion-free complex connection if for any local coordinates we have holds for any , and . It can be verified that this is independent of the choice of coordinates by the transformation formula for the connection matrix .

Now specify to the case when admits a hermitian metric . We call the hermitian manifold a Kähler manifold if the associated metric connection is a torsion-free connection on . The metric is then called the Kähler metric on and the associated fundamental form of is called the Kähler form on .

Proposition. Suppose is a complex manifold with a hermitian metric , and is the associated fundamental form of . Then is a Kähler metric if and only if .

Proof: Consider the local coordinates of . Let and the inverse matrix of . By the expression of the metric connection, we obtain Thus is torsion-free if and only if which is equivalent to

Meanwhile, as we see that Therefore if and only if Note that by the hermitian property of , we have The equivalence of the two conditions then follows.

Another important equivalent description of Kähler metrics is that they are almostly the Euclidean metric locally.

Proposition. Suppose is a complex manifold with a hermitian metric . Then is a Kähler metric if and only if for each , there is a coordinate system centered at such that is expressed locally as

Proof: One direction is clear: if has the above local expression, then we see that is Kähler. Conversely, suppose that is a Kähler metric on . Fix a point and consider a local coordinate system centered at with expressed as By the Gram-Schimdt process, we may assume that for each . Then Now define by We can verify that is a well-defined coordinate system locally centered at . Then and hence Note that direct computation yields that

Examples and basic properties

There are several examples of Kähler manifolds whin our familiar complex manifold.

  • The affine space together with the Euclidean metric is Kähler.
  • For a lattice generated by real-linearly independent vectors, the complex torus with the Eucliden metric is Kähler.
  • Suppose is a Riemann surface, i.e., a complex manifold of dimension one. For any hermitian metric with the associated fundamental form , is a -form on , which must be zero. Therefore is a Kähler manifold.
  • If and are both Kähler manifolds, then as the associated fundamental form of the induced metric on is given by we see that is also Kähler.
  • Suppose is a Kähler manifold and is a complex submanifold with the induced metric. Then , where is the embedding, implying that is a Kähler manifold as well.
  • We show that the projective space , together with the Fubini-Study metric , is a Kähler manifold. Let be the real differential operators given by Then and hence locally we have Thus is -closed everywhere.
  • By the previous two results, any compact complex manifold that can be embedded into admits a Kähler metric.

The Kähler condition actually implies some topological properties of .

Proposition. Suppose is a compact Kähler manifold. Then the holomorphic -forms maps injectively into .

Proof: Suppose is a holomorphic -form. We first show that implies that . Let be a local orthonormal frame of with dual frame . Suppose then we have Note that

we obtain the local expression

It follow that whever is nonzero. However, if for some , then Stokes’ formula implies that which can only hold when .

Now we see that is a holomorphic -form. Applying the previous arguments to , we obtain .

Altogether we conclude that there is a natural well-defined injection .

Recall that the Betti number is defined to be the dimensional of the de Rham cohomology:

Propostion. Suppose is a compact Kähler manifold, then for any .

Proof: It suffices to find a closed -form which is not exact for each . Consider , whose closedness follows from the Kähler condition. If for some form , then a contradiction. Thus cannot be exact.

We introduce some applications of the Hodge theory on compact hermitian manifolds in the post, including the isomorphism of and and the Kodaira-Serre duality.

Relations of harmonic forms and Dolbeault cohomology

Suppose is a compact hermitian complex manifold and is a hermitian holomorphic vector bundle on . Since we have well-defined operator for each , the -valued Dolbeault cohomology on can be defined analogously to the ordinary Dolbeault cohomology on .

Proposition. Suppose is a compact hermitian complex manifold and is a hermitian holomorphic vector bundle on . Then we have the orthogonal direct sum decompostion

Proof: Let be the orthogonal projection of to . Then by Hodge theorem (and part of its proof), we see that , where is the Green operator. For each , there is a decomposition implying that Meanwhile, noting that we obtain the orthogonal relations of with the image of and . The images of the two operators are orthogonal since .

Proposition. Suppose is a compact hermitian complex manifold and is a hermitian holomorphic vector bundle on . Then there exists a unique harmonic form in each cohomology class in . Such harmonic form is the only element in with the minimal length.

Proof: Consider the cohomology class represented by , which satisfies . By the previous proposition, there exists a unique , together with such that We claim that is desired harmonic form.

First we need , and to show this it suffices to prove . Note that we have The direct sum deecompostion implies that .

If there is another harmonic , then showing the uniqueness of such .

For any other , there is such that It follows that

As harmonic forms are all -closed, we have a natural homomorphism

Corollary. The above homomorphism is an isomorphism. In particular, is finite dimensional.

Let be the sheaf of -valued holomorphic -forms on . In analogy of the ordinary Dolbeault theorem, we have the canonical isomorphism

Kodaira-Serre duality

The Hodge theory permits us to study Dolbeault cohomology by harmonic forms. Recall that when is -dimensional, we have the star operator As commutes with , there is a induced ismorphism Using the isomorphism of and , we see that This relation is usually called Kodaira-Serre duality.

There is another approach to the above equality, which actually identify with the dual of . Consider the pairing given by

We claim that this induces a well-defined pairing on the corresponding cohomology groups. Suppose and are -closed forms. Then for any we have implying that Similarly for any it holds that Thus the value of only depends on the cohomology class of and , yielding a pairing We see that this pairing is nondegenerate and hence gives a natural isomorphism In particular, let , we obtain

Another useful form of the Kodaira-Serre duality is obtained by taking . In this case we have and particularly Considering the generalized Dolbeault theorem, we further get the natural isomorphism

One thing to mention that the Kodaira-Serre duality only needs the condition that is a compact complex manifold and is a holomorphic vector bundle on . On the one hand, the pairing above has nothing to do with the hermitian structure on and . On the other hand, by considering a partition of unity, we see that and can always be equipped with hermitian structures.

Now we move on to the proof of Theorem B. The standard Sobolev lemma will be applied without a proof here.

Sobolev lemma and local Sobolev spaces

Recall the statement of Theorem B.

Theorem B. If satisfies that , then .

We see that this is concerned with the regularity of . It is often not easy to consider the continuity and differentiability of such forms directly. To deal with this, the Sobolev lemma is usually applied to turn the proof of regularities to the estimation of -norms.

Theorem (Sobolev lemma). Suppose is an open subset. Then for any nonnegative integers and such that , we have .

Note that here the inclusion means that each agrees with some almost everywhere. As the differentiablity is a local property, we can actually weaken the condition of . Consider the local Sobolev space consisting of measurable functions such that for any . Clearly . By taking to be a bumping function, we see from the Sobolev lemma that whenever . As a consequence, we have

From now on fix an open cover of such that we have holomorphic trivialization of both and on each . Then each can be written locally on as where . By the equvalence of the norm and , we see that if and only if each , and meanwhile clearly if and only if each . Considering a partition of unity subordinate to the open cover , we see that it suffices to prove the assertion of Theorem B for such that vanishes outside some open subset with compact.

Identifying with an open subset with through the coordinate map. Then becomes a bounded open set in . Denote the set of such that vanishes outside by and similarly for and . As there is a correspondence between and , we may analogously consider consisting of those given by . The operator extends to in a natural way. The Sobolev lemma now implies that


The proof of the following lemma will be given in the next part of this post.

Lemma D. Suppose satisfies that and the support is contained in . Then .

Using Lemma D and the alternate form of the Sobolev lemma, we can provide the proof of Theorem B.

Proof of Theorem B: It suffices to show that if and , then . By the Sobolev lemma, this is equivalent to for any , which will be shown by induction on .

We have got the assumption that . Now assume that and we need to show . Consider an arbitrary . As , we have , i.e., for any . By direct computation, we can see from the smoothness of that As clearly we can apply Lemma D to obtain that . It follows that and hence , which completes the induction.

Smoothing process

The proof of Lemma D involves an important trick call the smoothing process. We regard as an open subset of such that is compact. Fix a smooth function satisfying that , , and For each , define by We see that has the property that For each , define the convolution of with by where we let for . There are some basic properties of convolution which can be verified directly:

  • ;
  • with the derivatives given by for any multi-index ;
  • with ;
  • as , converges to in , i.e., .

Lemma. Suppose , for and , and Then as , we have

Proof: Let by the Hilbert space of -tuples of functions in with the norm given by We can see that is a dense subset of .

Let be a linear subspace of containing . For each , there is a linear functional given by We claim that is a bounded operator with bounded by a constant independent of .

Consider any and let Viewing as an element in and as an element in , we see that for each we have It follows that Meanwhile, we have implying that Let which is finite as are and is compact. Since is , is continuous function with compact support. Thus is finite. Therefore for we have and hence

This shows that whenever , and we can see that and are both independent of .

For any , we have where we use the fact that if with respect to , and are all compactly supported, and is then with respect to . Now consider and take any . Since is dense in , there exists such that . Meanwhile, implies that there is some such that for any , . It follows that

We conclude that as .

Corollary. Suppose and are differential operators of order one with coefficiets on . If , then with respect to as .

The proof of Lemma D can be given now.

Proof of Lemma D: For each , let be given by for each , , and . Since is a compact subset of the open subset , we have for sufficiently small . Since , we see that with respect to . Note that there are differential operators of order one with coefficients on such that Hence with respect to , implying that with respect to . Thus and are both Cauchy sequences in .

By Gårding’s inequality, there exists such that

Then for sufficiently small such that , is a Cauchy sequence with respect to . Suppose with respect to . Then clearly converges to with respect to . By the uniqueness of the limit in , we obtain .

0%